高中数学三种方法证明最小值
1、首先,由题意可以联想到基本不等式:a²+b²≥2ab,b²+c²≥2bc,a²+c²≥2ac。
将上式相加会得到新条件:a²+b²+c²≥ab+bc+ac。
即:

2、那么,看到a²+b²+c²这样的式子,我们显然会想到完全平方公式——(a+b+c)²=a²+b²+c²+2ab+2bc+2ac。
既然知道上式中的一部分大于等于某个值,那么,我们就可以联立二式,得到(a+b+c)²≥3ab+3bc+3ac。
又因为a+b+c=1,那么ab+bc+ac≤1/3。
即:

3、从上一步可以看出,我们要证明的式子中的a²+b²+c²,必然会和ab+bc+ac有关,所以对此式进行处理:-2(ab+bc+ac)≥-2/3。
那么问题就很简单了,只要把(a+b+c)²展开并代入条件就可以得证了。
即:

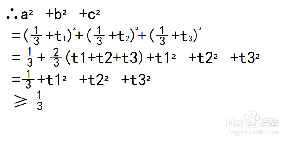
1、首先由已知条件a+b+c=1想到要引入新参数t,写出t符合的条件(t1+t2+t3=0)后,把要证的a²+b²+c²用含t的式子表示出来:a²+b²+c²=(a+t1)²+(b+t2)²+(c+t3)²
即:

2、然后根据完全平方公式展开含t的式子,就可以得证。
即:

3、注:
分析t1+t2+t3=0可知:
t1、t2、t3均为0时,三数平方和最小,为0;
另外的三种情况下t1、t2、t3的平方和都不为0而是正数——1个为0、另外两个互为相反数;1个为负数、另外2个为正数;1个为正数、另外2个为负数。
综上:t1²+t2²+t3²≥0
声明:本网站引用、摘录或转载内容仅供网站访问者交流或参考,不代表本站立场,如存在版权或非法内容,请联系站长删除,联系邮箱:site.kefu@qq.com。