小度生活
首页
美食营养
手工爱好
生活家居
返回
小度生活
首页
美食营养
游戏数码
手工爱好
生活家居
健康养生
运动户外
职场理财
情感交际
母婴教育
时尚美容
知识问答
生活知识
搜索
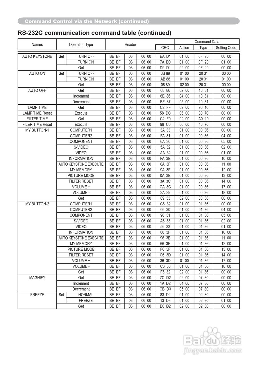
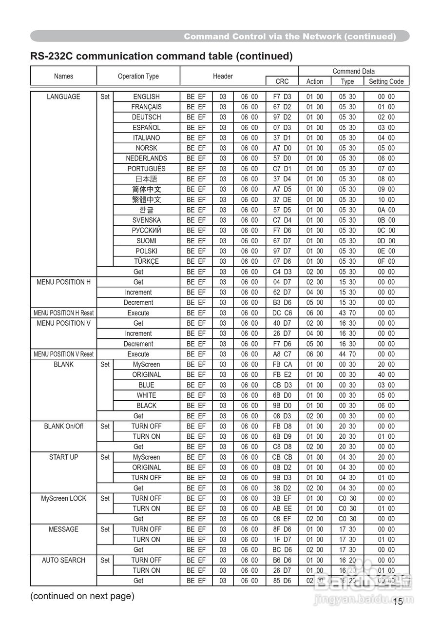
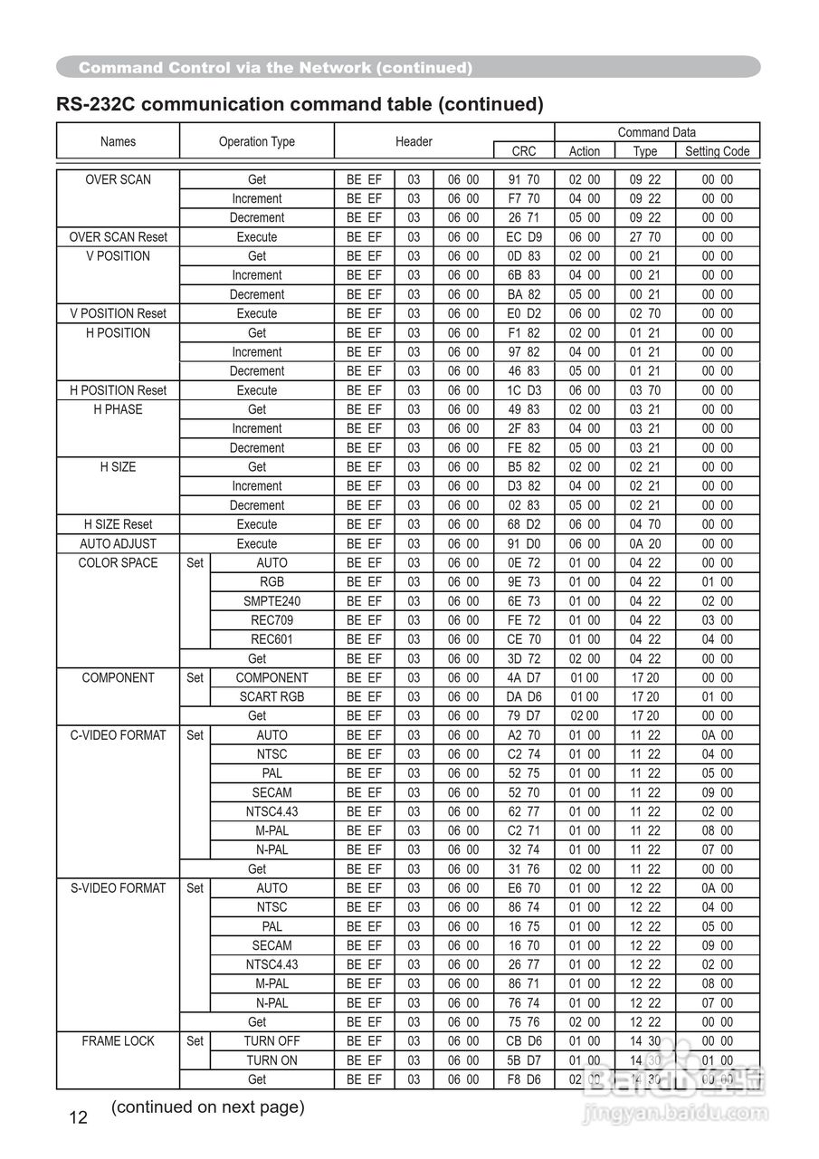
日立 ED-X32投影机说明书:[10]
2025-11-03 01:40:32
本篇为《日立 ED-X32投影机说明书》,主要介绍该产品的使用方法以及常见故障解决方案。
(共篇)
上一篇:
声明:
本网站引用、摘录或转载内容仅供网站访问者交流或参考,不代表本站立场,如存在版权或非法内容,请联系站长删除,联系邮箱:site.kefu@qq.com。
相关推荐
日立 ED-X32投影机说明书:[9]
阅读量:152
日立 ED-X30投影机说明书:[10]
阅读量:126
日立 ED-X10投影机说明书:[2]
阅读量:146
日立 ED-X30投影机说明书:[3]
阅读量:82
日立 ED-X31投影机说明书:[5]
阅读量:127
猜你喜欢
维生素d缺乏症
办理营业执照需要什么
瓜田李下什么意思
无厘头是什么意思
同等学历是什么意思
retry是什么意思
大修基金是什么
养殖业什么前景最好
alice是什么意思
什么是挂号信
猜你喜欢
什么是合伙企业
树洞什么意思
赤道是什么意思
mg是什么牌子的车
电放是什么意思
女人第一次是什么感觉
不卑不亢什么意思
仿丝棉是什么
绿色裤子配什么上衣
火鸡养殖技术