小度生活
首页
美食营养
手工爱好
生活家居
返回
小度生活
首页
美食营养
游戏数码
手工爱好
生活家居
健康养生
运动户外
职场理财
情感交际
母婴教育
时尚美容
知识问答
生活知识
生活百科
搜索
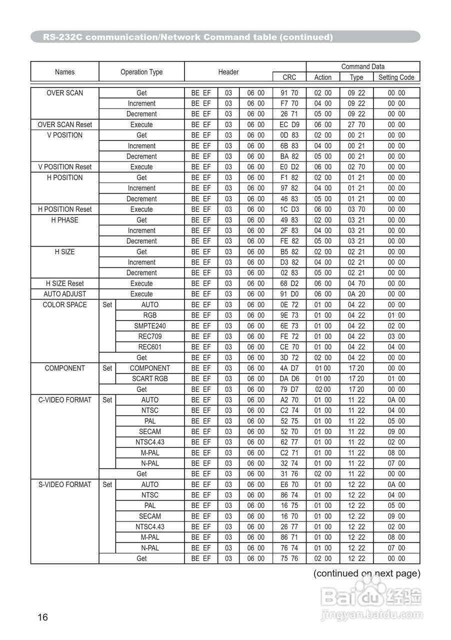
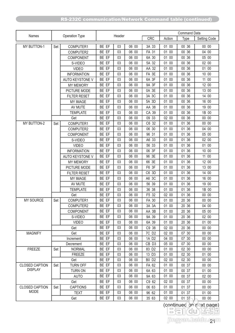
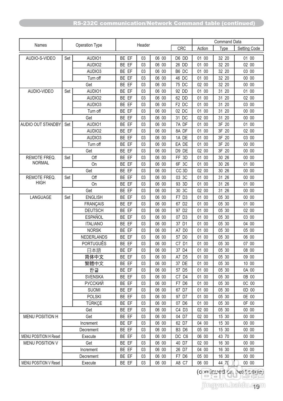
日立CP-X306投影机使用说明书:[16]
2026-04-22 23:20:37
本篇为《日立CP-X306投影机使用说明书》,主要介绍该产品的使用方法以及常见故障解决方案。
(共篇)
上一篇:
声明:
本网站引用、摘录或转载内容仅供网站访问者交流或参考,不代表本站立场,如存在版权或非法内容,请联系站长删除,联系邮箱:site.kefu@qq.com。
相关推荐
日立CP-X306投影机使用说明书:[15]
阅读量:135
日立CP-X306投影机使用说明书:[12]
阅读量:189
日立 CP-S225W投影机说明书:[16]
阅读量:75
使用说明书封面怎么做
阅读量:158
使用说明书wf2651使用指南
阅读量:143
猜你喜欢
可可粉怎么吃
怎么让头发变多
男人怎么
肥肠怎么洗
cad图纸怎么看
开除员工怎么赔偿
精影显卡怎么样
蜈蚣辫怎么编
淘宝实名认证怎么弄
小孩湿疹怎么办
猜你喜欢
垂体泌乳素高怎么办
家里wifi网速慢怎么办
肠胃不好经常拉肚子怎么调理
图片怎么缩小
朱怎么组词
怎么在电脑上截图
白癜风是怎么引起的
怎么看ip地址
怎么知道五行缺什么
孕妇肚子疼怎么回事