老唐杠杆数学解题技巧之函数中求解最值问题
1、猛然间,你发现自己还是有思路的,甚至煞有介事的想到了分a=0和 a≠0 两种情况讨论.

2、当 a≠0时,是不是又要分a>0和 a<0 ?你想是的!但想想又没有必要,这个函数f(x)不就是二次函数的“一小截”吗?而且对称轴还是固定的,为 x=1 .

3、直接

4、再一线性规划规划,答案呼之欲出。a+2b≤2 .
别慌!我们换个角度。把英海矿f(x)看作是 ,令f(x)=( x² -2x)a+(-2b)+2,令

5、这样可以解出 x=1
我这样做的目的是为了让 f(x) 中 a,b 的系数与要找范王板围的 a+2b 成比例。假如题目是让我们求2a+3b 的范围,那就

6、然后呢?所以呢?
然后啊,咱还得看上面解出来的 x=1 是否在所给的区间[-2,2] ?
在!然后呢?
然后,因为 f(x)≥0在 [-2,2] 上恒成立,那随仗自然有 f(1)≥0 恒成立,从而得到
f( x)=-a-2b+2≥0,解得 a+2b≤1 恒成立.
7、完了吗?没有!当一个不等式建立起来的时候,能不能取到最值,显得格外重要。老唐举个例子:-x²+1≤2恒成立!
没问题啊!但是去得到那个“2 ”吗?取不到!因为 -x²+1 的最大值为 1.
所以,当咱们找到 a+2b≤2 的时候先别高兴太早,得考察考察不等号右边的 2 能取到吗?
能,当 a=0 ,b=0 的时候可以同时满足 a+2b=2 取到最大值 2并保证f(x)≥0 恒成立.
搞定!
1、再看:

2、这个题对称轴不固定,哼哼,你不如讨论讨论试试 .

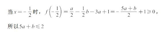
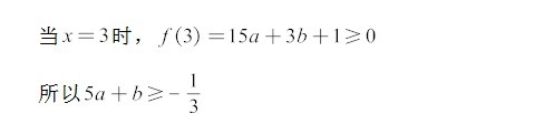
3、解得 x=-1/2 ,x=3 ,它们都在区间 [-4,4] 上.

4、当 a=2/7 , b=4/7 时,同时满足 5a+b 取到最大值2 并保证 f(x)≥0 恒成立.

5、当 a=1/21 ,b=-12/21 时,同时满足5a+b 取到最小值 -1/3 并保证 f(x)≥0 恒成立.
那么答案就是[-1/3,2]
6、等等!还有个问题,上面的“ a=0,b=1 ”“a=2/7 ,b=4/7 ”“a=1/21 ,b=-12/21 ”是怎么来的?
我猜的,你信吗?
