小度生活
首页
美食营养
手工爱好
生活家居
返回
小度生活
首页
美食营养
游戏数码
手工爱好
生活家居
健康养生
运动户外
职场理财
情感交际
母婴教育
时尚美容
知识问答
生活知识
生活百科
搜索
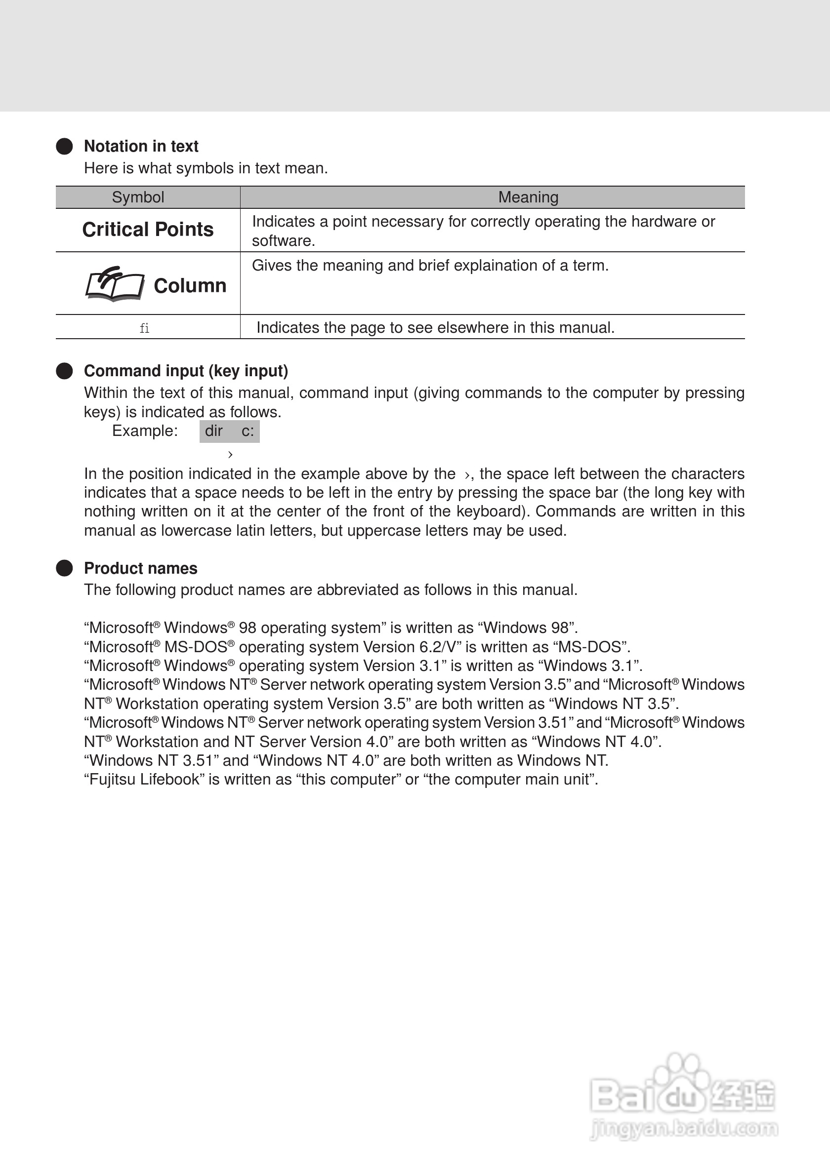
富士通笔记本S453X型使用说明书:[1]
2026-03-29 20:36:42
本篇为《富士通笔记本S453X型使用说明书》,主要介绍该产品的使用方法以及常见故障解决方案。
(共篇)
下一篇:
声明:
本网站引用、摘录或转载内容仅供网站访问者交流或参考,不代表本站立场,如存在版权或非法内容,请联系站长删除,联系邮箱:site.kefu@qq.com。
相关推荐
富士通笔记本S453X型使用说明书:[10]
阅读量:76
富士通笔记本S453X型使用说明书:[9]
阅读量:94
富士通笔记本E8020型使用说明书:[1]
阅读量:68
富士通笔记本E6530型使用说明书:[1]
阅读量:146
富士通笔记本C2110型使用说明书:[1]
阅读量:114
猜你喜欢
迫不及待的近义词
如果的近义词
qq怎么了
我的世界光影怎么安装
燕鱼怎么养
拱猪怎么玩
宁波博物馆
宁波帮博物馆
短发怎么打理
国字脸适合的发型
猜你喜欢
word怎么画箭头
果然近义词
ps怎么改变图片颜色
女孩子痛经怎么办
粉刺针怎么用
飞机驾驶证怎么考
短发内扣发型图片
12306怎么选择上下铺
长脸适合的发型
脚心出汗是怎么回事