小度生活
首页
美食营养
手工爱好
生活家居
返回
小度生活
首页
美食营养
游戏数码
手工爱好
生活家居
健康养生
运动户外
职场理财
情感交际
母婴教育
时尚美容
知识问答
生活知识
生活百科
搜索
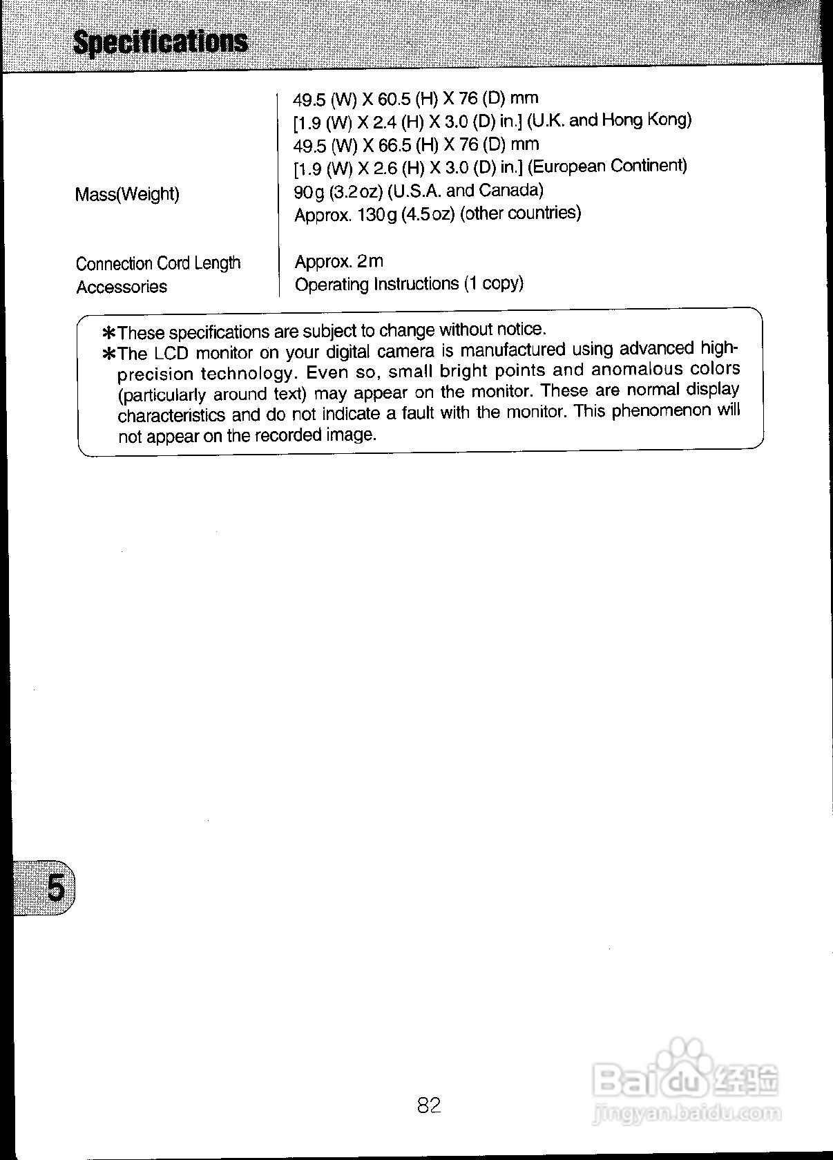
东芝PDR-M3数码相机使用说明书:[9]
2026-03-25 22:41:09
本篇为《东芝PDR-M3数码相机使用说明书》,主要介绍该产品的使用方法以及常见故障解决方案。
(共篇)
上一篇:
声明:
本网站引用、摘录或转载内容仅供网站访问者交流或参考,不代表本站立场,如存在版权或非法内容,请联系站长删除,联系邮箱:site.kefu@qq.com。
相关推荐
东芝PDR-M3数码相机使用说明书:[3]
阅读量:136
东芝PDR-M3数码相机使用说明书:[7]
阅读量:145
东芝PDR-M3数码相机使用说明书:[4]
阅读量:61
东芝PDR-4300数码相机使用说明书:[3]
阅读量:37
东芝PDR-M61数码相机使用说明书:[3]
阅读量:184
猜你喜欢
外汇如何开户
会车是什么意思
气垫bb怎么使用
如何增大胸部
欣慰是什么意思
undefined是什么意思
卫生护垫怎么用
99977是什么意思
影音先锋怎么下载电影
技术职称怎么填
猜你喜欢
蒙太奇是什么意思
夫妻古代生活守则
荣耀7怎么样
阿卡丽怎么连招
电脑密码怎么设置取消
如何快速消除黑眼圈
生活中的化学小常识
7日年化收益率是什么意思
生活分享
天津商业大学宝德学院怎么样