c上下两个数字怎么运算
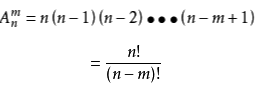
1、排度列的定义:从n个不同元素中,任意取m(m≤n,m与n均为自然数,下同)个元素按照一定的顺序排成一列,叫做问从n个不同元素中取出m个元素的一个排列;从n个不同元素中取出m(m≤n)个元素的所有排列的个数,叫做从n个不同元素中取出m个元素的排列数,用符号 A(n,m)表示。

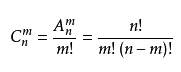
2、组合的定义:从n个不同元素中,任取m(m≤n)个元素并成一组,叫做从n个不同元素中取出m个元素的一个组合;从n个不同元素中取出m(m≤n)个元素的所有组合的个数,叫做从n个不同元素中取出m个元素的组合数。使用符号 C(n,m) 来表示。

3、C(n,m)=C(n,n-m)。(n≥m)
此外规定0!=1(n!表示n(n-1)(n-2)...1,也就是7!=7x6x5x4x3x2x1

4、一、概率的严格定义:E是随机试验,S是它的样本空间。对于E的每一事件zdA赋于一个实数,记为P(A),就称为事件A的概率。这里P(·)是一个集合函回数,P(·)要满足下列条件:
(1)非负性:对于每一个事件A,有P(A)≥0;
(2)规范性:对于必然事件S,有P(S)=1;
(3)可列可加性:设A1,A2……是两两互不相容的事件,即对于i≠j,Ai∩Aj=φ,(i,j=1,2……),则有P(A1∪A2∪……)=P(A1)+P(A2)+..

5、概率论是研究随机性或不确定性等现象的数学。更加精确地说,概率论是用来模拟实验在同一环境下会产生不同结果的情况。在自然界和人类社会中,存在很多的随机现象,而概率是衡量答该现象发生的可能性的量度。

1、1.排度列的定义:从n个不同元素中,任意取m(m≤n,m与n均为自然数,下同)个元素按照一定的顺序排成一列,叫做问从n个不同元素中取出m个元素的一个排列。
2.概率的严格定义:E是随机试验,S是它的样本空间。
3.概率论是研究随机性或不确定性等现象的数学。