小度生活
首页
美食营养
手工爱好
生活家居
返回
小度生活
首页
美食营养
游戏数码
手工爱好
生活家居
健康养生
运动户外
职场理财
情感交际
母婴教育
时尚美容
知识问答
生活知识
搜索
BS34线缆长度测试仪中文使用说明书:[2]
2026-01-21 15:24:09
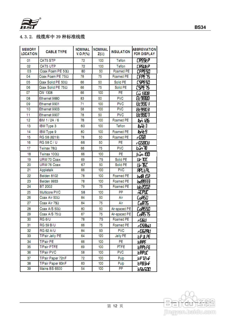
本篇为《BS34线缆长度测试仪中文使用说明书》,主要介绍该产品的使用方法以及常见故障解决方案。
(共篇)
上一篇:
|
下一篇:
声明:
本网站引用、摘录或转载内容仅供网站访问者交流或参考,不代表本站立场,如存在版权或非法内容,请联系站长删除,联系邮箱:site.kefu@qq.com。
相关推荐
BS34线缆长度测试仪中文使用说明书:[3]
阅读量:106
合众HZYF-II型二次压降负荷测试仪说明书:[1]
阅读量:106
Windows 10 Build 18995预览版更新教程
阅读量:162
WFT-PD-RD Series 通用PROFIBUS/RS232 RS485总线转换:[4]
阅读量:149
维肯电子 VK3234 多总线接口四通道通用异步收发器使用:[2]
阅读量:162
猜你喜欢
因地制宜的意思
钢笔水用什么能洗掉
敏而好学不耻下问的意思
噱头什么意思
口蜜腹剑的意思
自作自受的意思
描写方法有哪些及作用
忽如一夜春风来千树万树梨花开意思
泡腾片的作用
自告奋勇的意思
猜你喜欢
财产保全是什么意思
三阴交穴位作用
青豆的功效与作用
天涯海角的意思
生日粗卡什么意思
孕妇dha什么时候吃
你是什么样的女孩
狗的作用
dismiss什么意思
cba什么时候开始