小度生活
首页
美食营养
手工爱好
生活家居
返回
小度生活
首页
美食营养
游戏数码
手工爱好
生活家居
健康养生
运动户外
职场理财
情感交际
母婴教育
时尚美容
知识问答
生活知识
生活百科
搜索
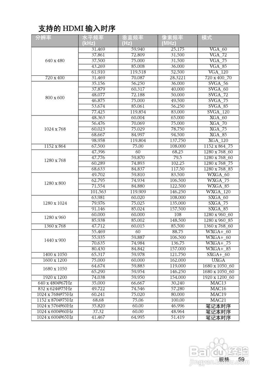
明基W1200投影机使用说明书:[6]
2026-03-26 01:40:29
本篇为《明基W1200投影机使用说明书》,主要介绍该产品的使用方法以及常见故障解决方案。
(共篇)
上一篇:
|
下一篇:
声明:
本网站引用、摘录或转载内容仅供网站访问者交流或参考,不代表本站立场,如存在版权或非法内容,请联系站长删除,联系邮箱:site.kefu@qq.com。
相关推荐
明基W1200投影机使用说明书:[3]
阅读量:85
明基W1200投影机使用说明书:[2]
阅读量:36
明基W1000+投影机使用说明书:[6]
阅读量:33
明基W5000投影机使用说明书:[6]
阅读量:141
明基MX810ST投影机使用说明书:[6]
阅读量:140
猜你喜欢
嘴巴发苦是什么原因
孕妇什么不能吃
什么避孕药最好
一如既往是什么意思
法令纹是什么
总是放屁是什么原因
2015年是什么命
leaves是什么意思
胆矾是什么
顺祝商祺是什么意思
猜你喜欢
欲穷千里目的欲是什么意思
小满是什么意思
万劫不复是什么意思
北极熊的皮肤是什么颜色的
虾米是什么意思
托福是什么
语c是什么
头疼是什么原因
女字加一点是什么字
excited是什么意思