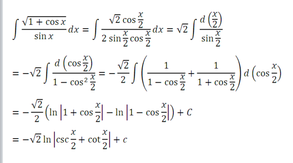
∫〖√(1+cosx)/sinx dx〗求不定积分
解题过程如下图:

在微积分中,一个函数f 的不定积分,或原函数,或反物五导数,是一个导数等于f 的函数 F ,即F ′ = f。
不定积分和定积分间的关系由微积分基本定理确定。其中F是f的不定积分。
扩展资料
定理
一般定理
定理1:设f(x)在区间[a,b]上连续,则f(x)在[a,b]上可积。
定理2:设f(x)区间[a,b]上有界,且只有有限个间断点鬼购强,则f(x)在[a,b]上可积。
定理3:设f(x)在区间[a,b]上单调,则f(x)在矿政[a,b]上可积。
牛顿-莱布尼茨公式
定积分与不定积分看起来风马牛不相及,但是由于一个数学上重要的理论的支撑,使得它们有了本质的密切关系。把一个图形无限细分再累加,这似乎是不可能的事情,但是由于这个理论,可以转化为计算积分。
声明:本网站引用、摘录或转载内容仅供网站访问者交流或参考,不代表本站立场,如存在版权或非法内容,请联系站长删除,联系邮箱:site.kefu@qq.com。
阅读量:102
阅读量:92
阅读量:121
阅读量:62
阅读量:156