矩阵的伴随矩阵怎么求
1、了解方阵行列式的定义。

2、了解方阵行列式的运算规则。

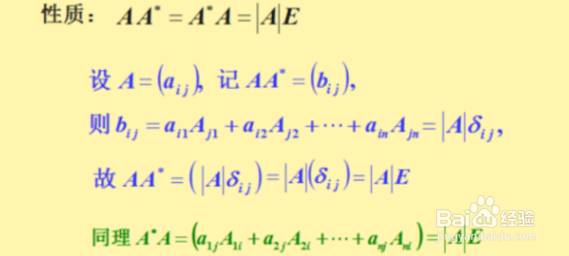
3、可以得出方阵的伴随矩阵定义。

4、还需要牢记伴随矩阵的的巧妙运用之处。

声明:本网站引用、摘录或转载内容仅供网站访问者交流或参考,不代表本站立场,如存在版权或非法内容,请联系站长删除,联系邮箱:site.kefu@qq.com。
1、了解方阵行列式的定义。

2、了解方阵行列式的运算规则。

3、可以得出方阵的伴随矩阵定义。

4、还需要牢记伴随矩阵的的巧妙运用之处。
