小度生活
首页
美食营养
手工爱好
生活家居
返回
小度生活
首页
美食营养
游戏数码
手工爱好
生活家居
健康养生
运动户外
职场理财
情感交际
母婴教育
时尚美容
知识问答
搜索
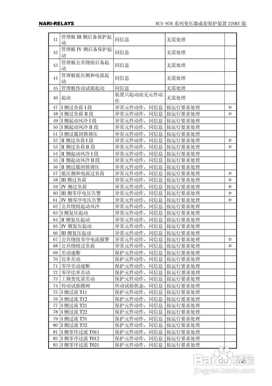
RCS-978系列变压器成套保护装置220kV版技术说明书:[16]
2025-10-05 07:00:26
本篇为《RCS-978系列变压器成套保护装置220kV版技术说明书》,主要介绍该产品的使用方法以及常见故障解决方案。
(共篇)
上一篇:
声明:
本网站引用、摘录或转载内容仅供网站访问者交流或参考,不代表本站立场,如存在版权或非法内容,请联系站长删除,联系邮箱:site.kefu@qq.com。
相关推荐
RCS-978系列变压器成套保护装置220kV版技术说明书:[15]
阅读量:113
RCS-978系列变压器成套保护装置220kV版技术说明书:[6]
阅读量:136
变压器测试仪器有哪几种?
阅读量:135
变压器满负载的测试方法
阅读量:108
变压器变比测试仪测试方法
阅读量:74
猜你喜欢
补血汤的做法大全
话题作文题目大全
兰花图片大全
看图猜成语游戏大全
腰背酸痛是怎么回事
杏鲍菇的做法大全家常
微信公众号怎么发视频
四年级作文大全
成人用品大全
好词好句大全摘抄
猜你喜欢
科技手抄报图片大全
干豆皮的做法大全
遥控器不见了怎么办
儿童故事大全白雪公主
毛片大全真人在线
火罐怎么拔
月子餐30天食谱大全
4399儿歌故事大全
炖排骨的做法大全
大专自考怎么报名