微积分问题,sinx的4次方的积分如何求
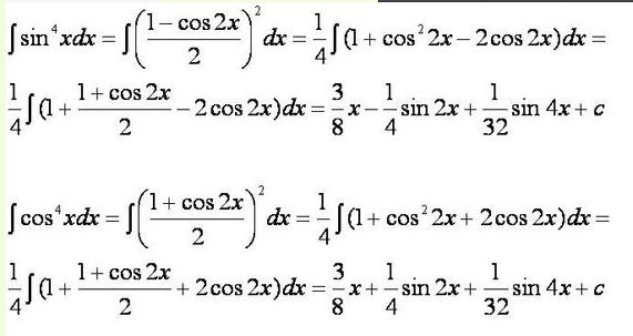
解题过程如下图:

记作∫f(x)dx或者∫f(高等微积分中常省去dx),即∫f(x)dx=F(x)+C。其中∫叫做积分号,f(x)叫做被积函数,x叫做积分变量,f(x)dx叫做被积式,C叫做积分常数或积分常量,求已知函数的不定积分的过程叫做对这个函数进行不定积分。
扩展资料
常用积分公式:
1)∫0dx=c
2)∫x^udx=(x^(u+1))/(u+1)+c
3)∫1/xdx=ln|x|+c
4)∫a^xdx=(a^x)/lna+c
5)∫e^xdx=e^x+c
6)∫sinxdx=-cosx+c
7)∫cosxdx=sinx+c
声明:本网站引用、摘录或转载内容仅供网站访问者交流或参考,不代表本站立场,如存在版权或非法内容,请联系站长删除,联系邮箱:site.kefu@qq.com。
阅读量:187
阅读量:127
阅读量:114
阅读量:140
阅读量:67