小度生活
首页
美食营养
手工爱好
生活家居
返回
小度生活
首页
美食营养
游戏数码
手工爱好
生活家居
健康养生
运动户外
职场理财
情感交际
母婴教育
时尚美容
知识问答
生活知识
生活百科
搜索
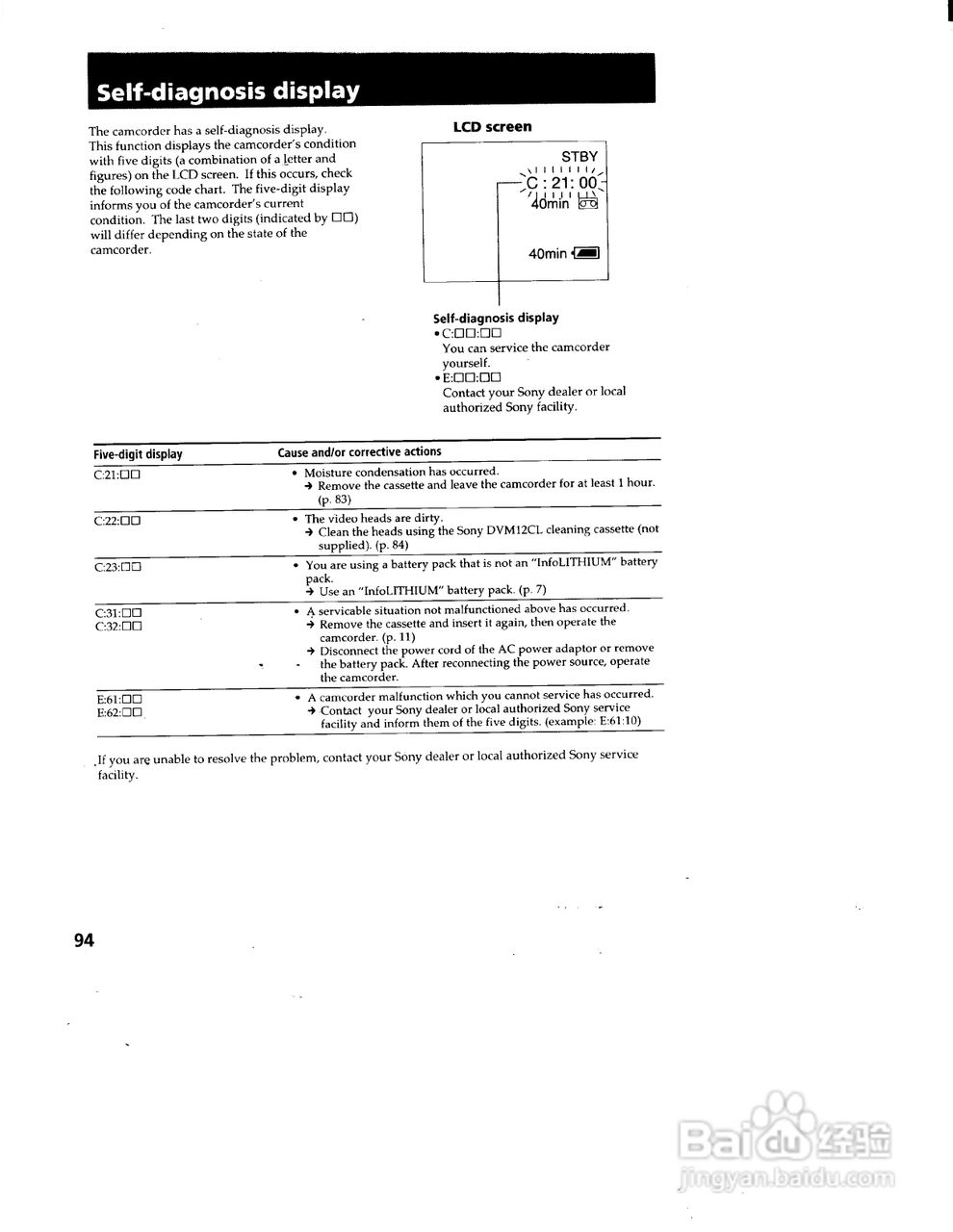
索尼DCR-SC100数码摄像机说明书:[10]
2026-05-11 18:47:01
本篇为《索尼DCR-SC100数码摄像机说明书》,主要介绍该产品的使用方法以及常见故障解决方案。
(共篇)
上一篇:
|
下一篇:
声明:
本网站引用、摘录或转载内容仅供网站访问者交流或参考,不代表本站立场,如存在版权或非法内容,请联系站长删除,联系邮箱:site.kefu@qq.com。
相关推荐
索尼DCR-SC100数码摄像机说明书:[11]
阅读量:82
索尼DCR-SR290E数码摄像机使用说明书:[10]
阅读量:74
索尼DCR-SR70E数码摄像机使用说明书:[10]
阅读量:157
索尼DCR-TRV510数码摄像机说明书:[10]
阅读量:146
索尼a6000新手教程
阅读量:126
猜你喜欢
植物名称大全
油画棒画图片大全
小鱼图片大全
大白菜做法大全家常
email地址怎么写
姚晨个人资料简介
小孩流清鼻涕怎么办
三国杀武将大全
中国民用航空飞行学院怎么样
vivo报价大全
猜你喜欢
淘宝保证金怎么退回
董鄂妃简介
导航大全
枇杷叶怎么煮水
经典老歌歌曲大全
2岁宝宝食谱大全及做法
科幻画大全
防沉迷身份证号大全
右下腹疼痛是怎么回事
罪恶都市mod大全