小度生活
首页
美食营养
手工爱好
生活家居
返回
小度生活
首页
美食营养
游戏数码
手工爱好
生活家居
健康养生
运动户外
职场理财
情感交际
母婴教育
时尚美容
知识问答
生活知识
生活百科
搜索
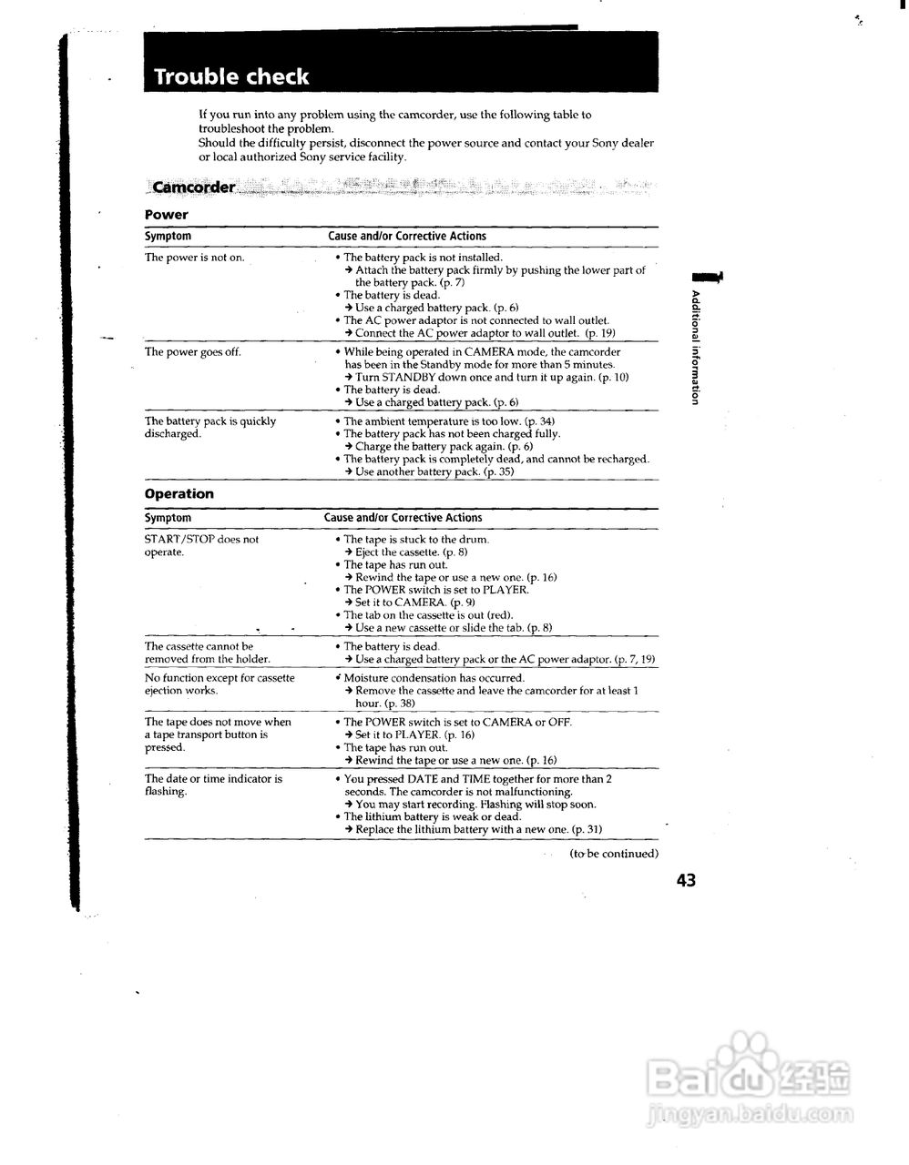
索尼CCD-TRV212模拟摄像机说明书:[5]
2026-04-18 15:04:21
本篇为《索尼CCD-TRV212模拟摄像机说明书》,主要介绍该产品的使用方法以及常见故障解决方案。
(共篇)
上一篇:
|
下一篇:
声明:
本网站引用、摘录或转载内容仅供网站访问者交流或参考,不代表本站立场,如存在版权或非法内容,请联系站长删除,联系邮箱:site.kefu@qq.com。
相关推荐
索尼CCD-TRV212模拟摄像机说明书:[6]
阅读量:153
索尼CCD-TRV211模拟摄像机说明书:[2]
阅读量:52
索尼CCD-TRV211模拟摄像机说明书:[3]
阅读量:104
模拟摄像机和网络监控摄像机画面嵌入网页直播
阅读量:83
索尼CCD-TRV211模拟摄像机说明书:[4]
阅读量:97
猜你喜欢
读书心得怎么写
迷你世界怎么驯服野人
泡泡机的水怎么配
电脑怎么锁屏
笔记本电脑亮度怎么调
猪油怎么熬
英语怎么写
罹怎么读
琼怎么读
脂肪粒怎么消除在眼睛旁边的
猜你喜欢
乡道编号为什么是y
刺激战场国际服怎么下载
信用卡怎么还款
藉怎么组词
矩阵的秩怎么求
心愿卡怎么做
总胆红素高是怎么回事
wifi连接上不能上网怎么办
朔怎么读
driver怎么读