小度生活
首页
美食营养
手工爱好
生活家居
返回
小度生活
首页
美食营养
游戏数码
手工爱好
生活家居
健康养生
运动户外
职场理财
情感交际
母婴教育
时尚美容
知识问答
生活知识
生活百科
搜索
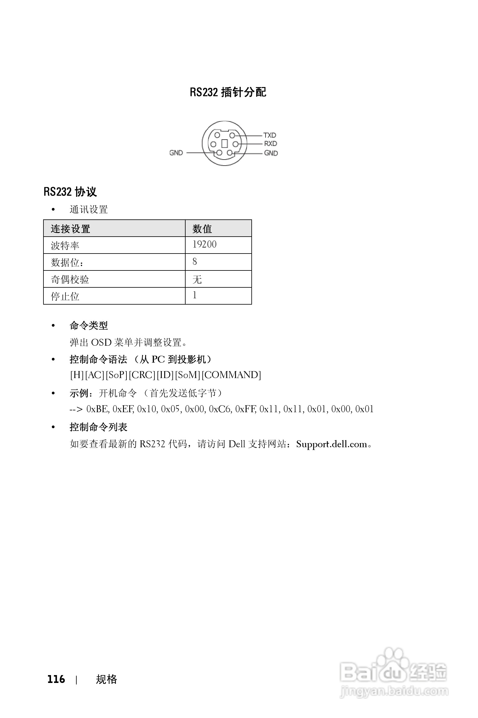
DELL S300WI投影机说明书:[12]
2026-05-31 15:48:50
本篇为《DELL S300WI投影机说明书》,主要介绍该产品的使用方法以及常见故障解决方案。
(共篇)
上一篇:
|
下一篇:
声明:
本网站引用、摘录或转载内容仅供网站访问者交流或参考,不代表本站立场,如存在版权或非法内容,请联系站长删除,联系邮箱:site.kefu@qq.com。
相关推荐
DELL S300WI投影机说明书:[13]
阅读量:105
DELL S300WI投影机说明书:[3]
阅读量:72
DELL S300WI投影机说明书:[9]
阅读量:186
dell如何进入bios
阅读量:28
dell蓝牙怎么打开
阅读量:149
猜你喜欢
脚痛是怎么回事
怎么扫二维码
全世界都在演我怎么办
热水器不出热水怎么回事
阿桑怎么去世的
狗身上有跳蚤怎么办
qq号忘记密码怎么办
胸胀是怎么回事
怎么腌咸鸡蛋
矛盾的结晶体怎么获得
猜你喜欢
瑞虎染发剂怎么样
打印机怎么换墨盒
末影龙蛋怎么拿
怎么进bios
怎么给狗狗剪指甲
三维立体图怎么看
我的世界怎么驯服龙
丝塔芙洗面奶怎么样
恐惧症怎么治疗
政治表现怎么写