小度生活
首页
美食营养
手工爱好
生活家居
返回
小度生活
首页
美食营养
游戏数码
手工爱好
生活家居
健康养生
运动户外
职场理财
情感交际
母婴教育
时尚美容
知识问答
生活知识
搜索
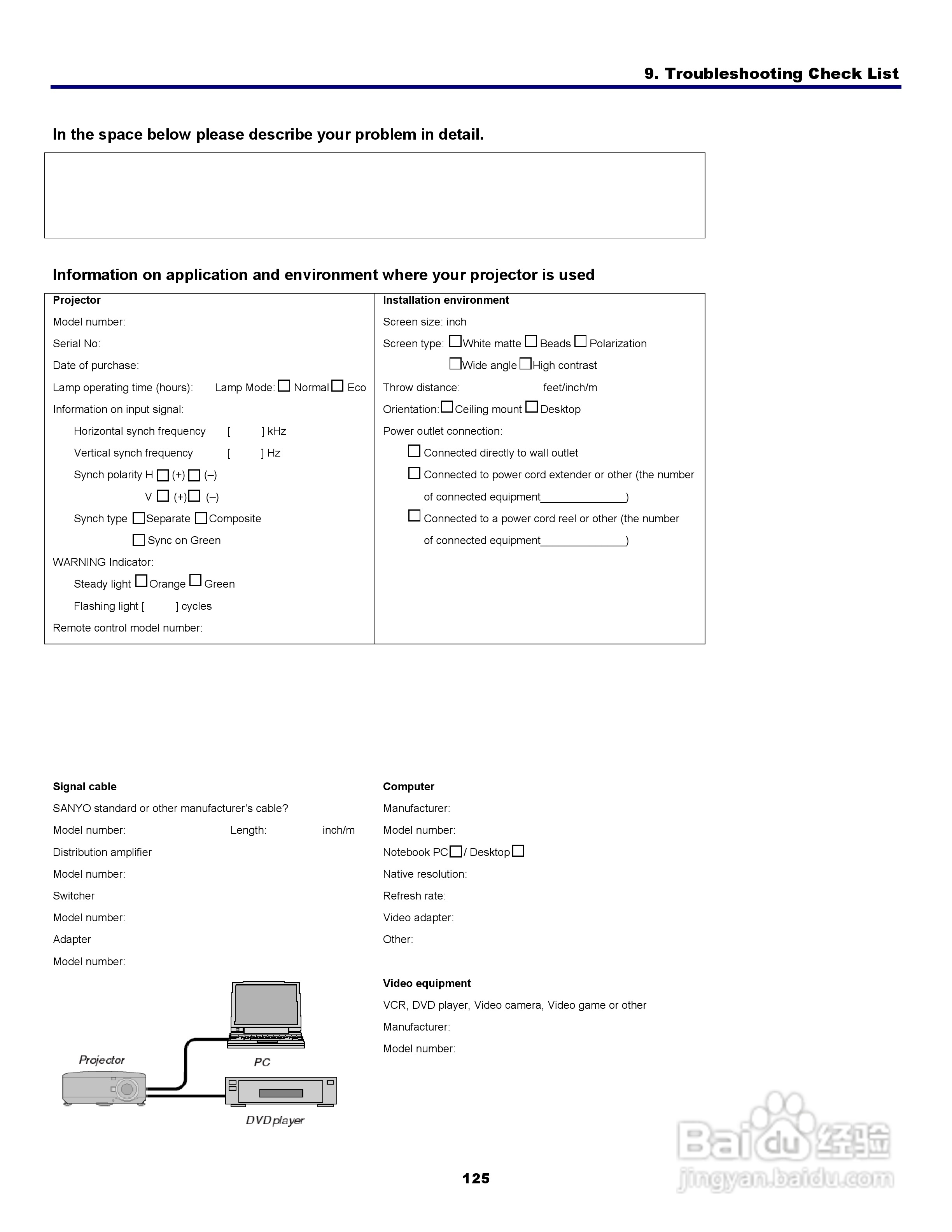
三洋 PDGD-XT10L投影机说明书:[14]
2026-02-07 02:17:07
本篇为《三洋 PDGD-XT10L投影机说明书》,主要介绍该产品的使用方法以及常见故障解决方案。
(共篇)
上一篇:
声明:
本网站引用、摘录或转载内容仅供网站访问者交流或参考,不代表本站立场,如存在版权或非法内容,请联系站长删除,联系邮箱:site.kefu@qq.com。
相关推荐
三洋 PDGD-XT10L投影机说明书:[10]
阅读量:41
三洋 PDGD-XT10L投影机说明书:[7]
阅读量:28
三洋 PDG-DWT50L投影机说明书:[14]
阅读量:115
投影机的安装与调试
阅读量:153
投影机重影怎么调整
阅读量:193
猜你喜欢
凯格尔运动图解
community是什么意思
格力空调e享是什么意思
event是什么意思
万人空巷是什么意思
饯行是什么意思
紫外线过敏用什么药
proper是什么意思
中级职称有什么用
3月14日是什么日子
猜你喜欢
手指疼痛是什么原因
标婷维生素e乳
鹅蛋脸适合什么眉形
流瑜伽是什么
manual是什么意思
世界上什么人一下子变老?
givenchy是什么牌子
产后恶露是什么
赤道2什么时候上映
维生素b族的副作用