小度生活
首页
美食营养
手工爱好
生活家居
返回
小度生活
首页
美食营养
游戏数码
手工爱好
生活家居
健康养生
运动户外
职场理财
情感交际
母婴教育
时尚美容
知识问答
生活知识
生活百科
搜索
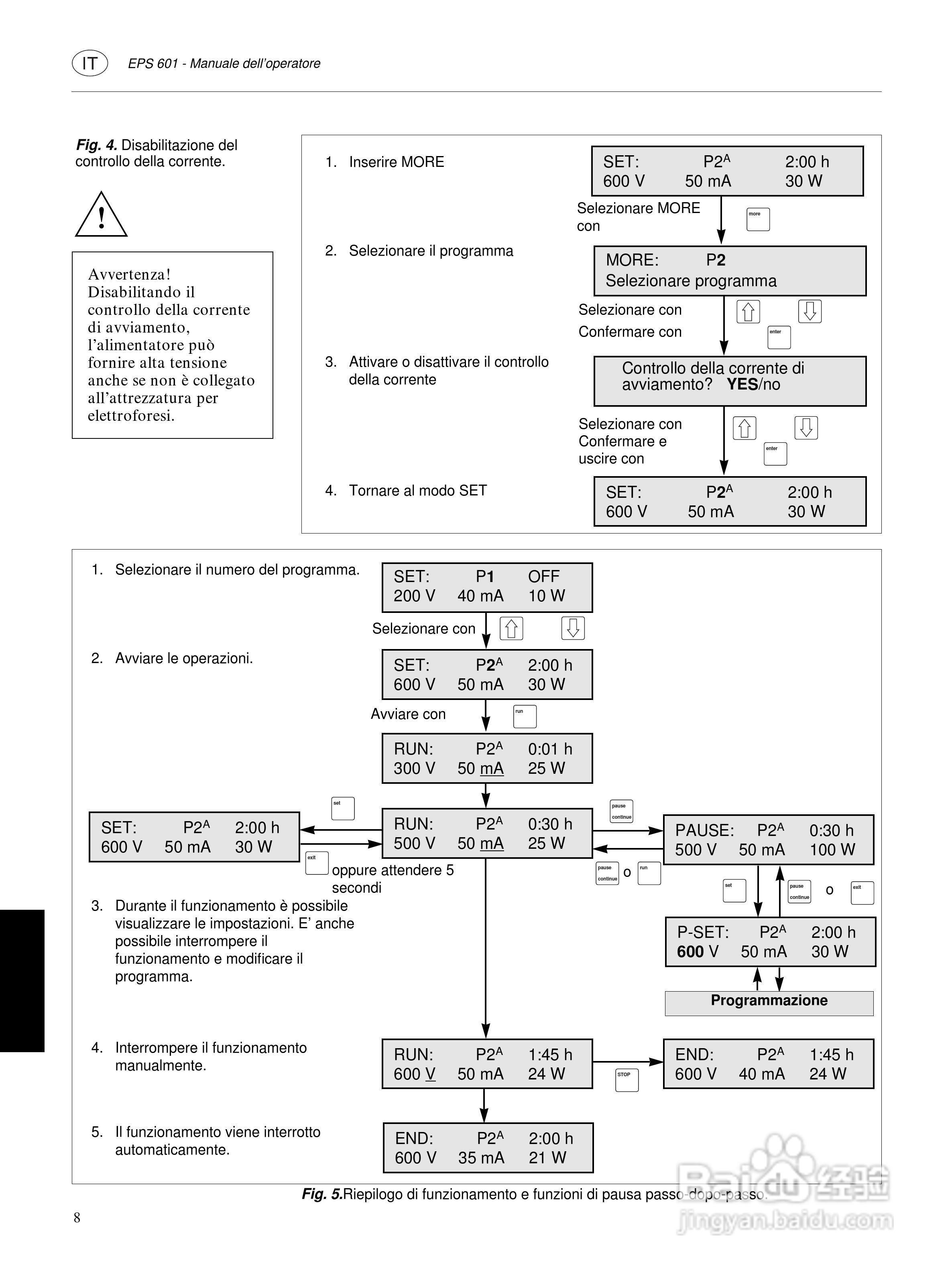
Amersham-eps601电源使用说明书:[5]
2026-04-07 09:30:24
本篇为《Amersham-eps601电源使用说明书》,主要介绍该产品的使用方法以及常见故障解决方案。
(共篇)
上一篇:
声明:
本网站引用、摘录或转载内容仅供网站访问者交流或参考,不代表本站立场,如存在版权或非法内容,请联系站长删除,联系邮箱:site.kefu@qq.com。
相关推荐
奇迹暖暖阵营战第四期攻略
阅读量:177
如何清洗汽车空调
阅读量:75
压敏电阻的原理及作用
阅读量:59
手把手教你认识变频空调
阅读量:96
你对合页真正了解了吗
阅读量:109
猜你喜欢
大智若愚的意思
春华对什么
道貌岸然的意思
我在神经什么
什么叫策划
厚积薄发是什么意思
耄耋之年什么意思
社保有什么用处
too是什么意思
油费计入什么科目
猜你喜欢
朝思暮想的意思
发烧友什么意思
铁观音有什么功效
天蝎男喜欢什么样的女人
濯清涟而不妖的意思
不可胜数的意思
一般贸易是什么意思
鸡犬相闻是什么意思
cpu是什么意思
lol是什么意思