小度生活
首页
美食营养
手工爱好
生活家居
返回
小度生活
首页
美食营养
游戏数码
手工爱好
生活家居
健康养生
运动户外
职场理财
情感交际
母婴教育
时尚美容
知识问答
生活知识
生活百科
搜索
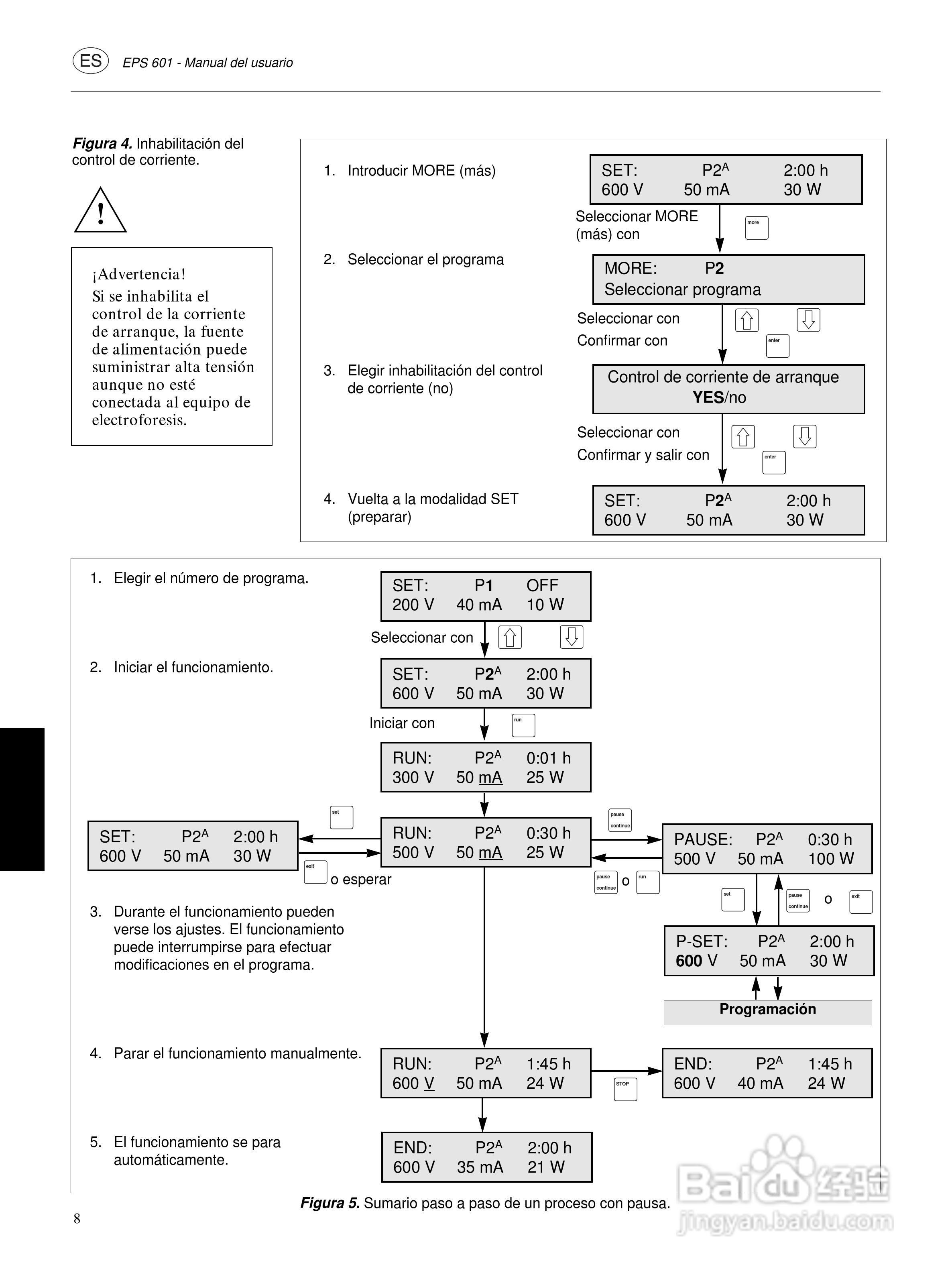
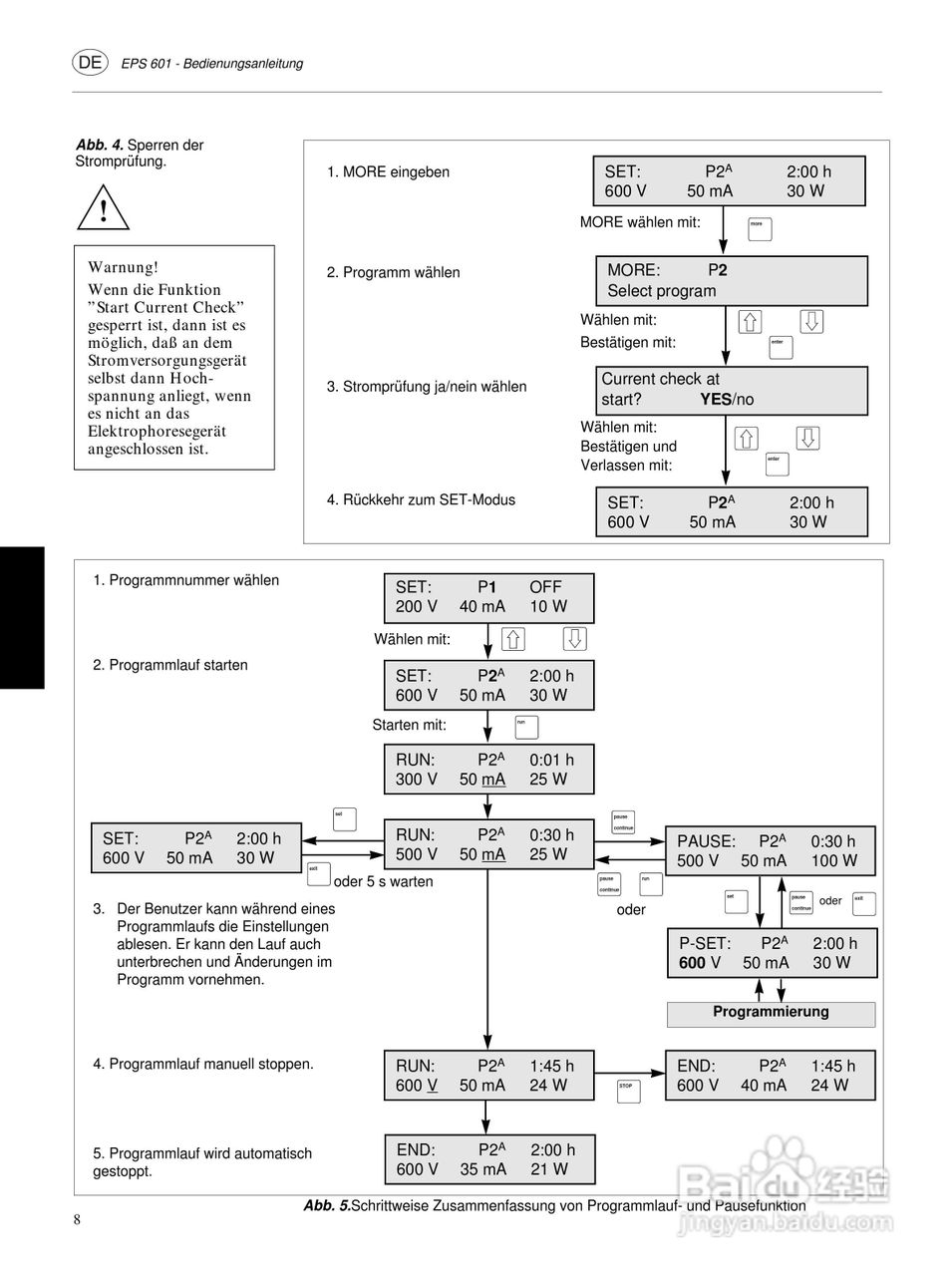
Amersham-eps601电源使用说明书:[4]
2026-04-07 07:43:32
本篇为《Amersham-eps601电源使用说明书》,主要介绍该产品的使用方法以及常见故障解决方案。
(共篇)
上一篇:
|
下一篇:
声明:
本网站引用、摘录或转载内容仅供网站访问者交流或参考,不代表本站立场,如存在版权或非法内容,请联系站长删除,联系邮箱:site.kefu@qq.com。
相关推荐
宝宝馒头の小黄人馒头
阅读量:103
如何申请法国留学呢
阅读量:138
陕西凉皮的制作方法【第一章】
阅读量:169
如何才能做好菜
阅读量:61
【高速ETC】轿车obu免费办理
阅读量:130
猜你喜欢
荔枝干的功效与作用
学制什么意思
女大三抱金砖什么意思
玛丽苏什么意思
葡萄籽的功效与作用
柏子养心丸的功效与作用
小学运动会口号
养鱼知识
人死后会变成什么
什么叫刷机
猜你喜欢
translate什么意思
什么的乐趣作文
飞盘运动
游泳安全知识
什么是通体砖
幼儿园健康知识讲座
运动会贺词
母亲节送什么礼物好
游泳运动员身材
叶酸片有什么作用