设函数z=f(x,y)的全微分为dz=xdx+ydy,则点(0,0)
设函数z=f(x,y)的全微分为dz=xdx+ydy,则点(0,0)是f(x,y)的极小值点,计算方法如下:

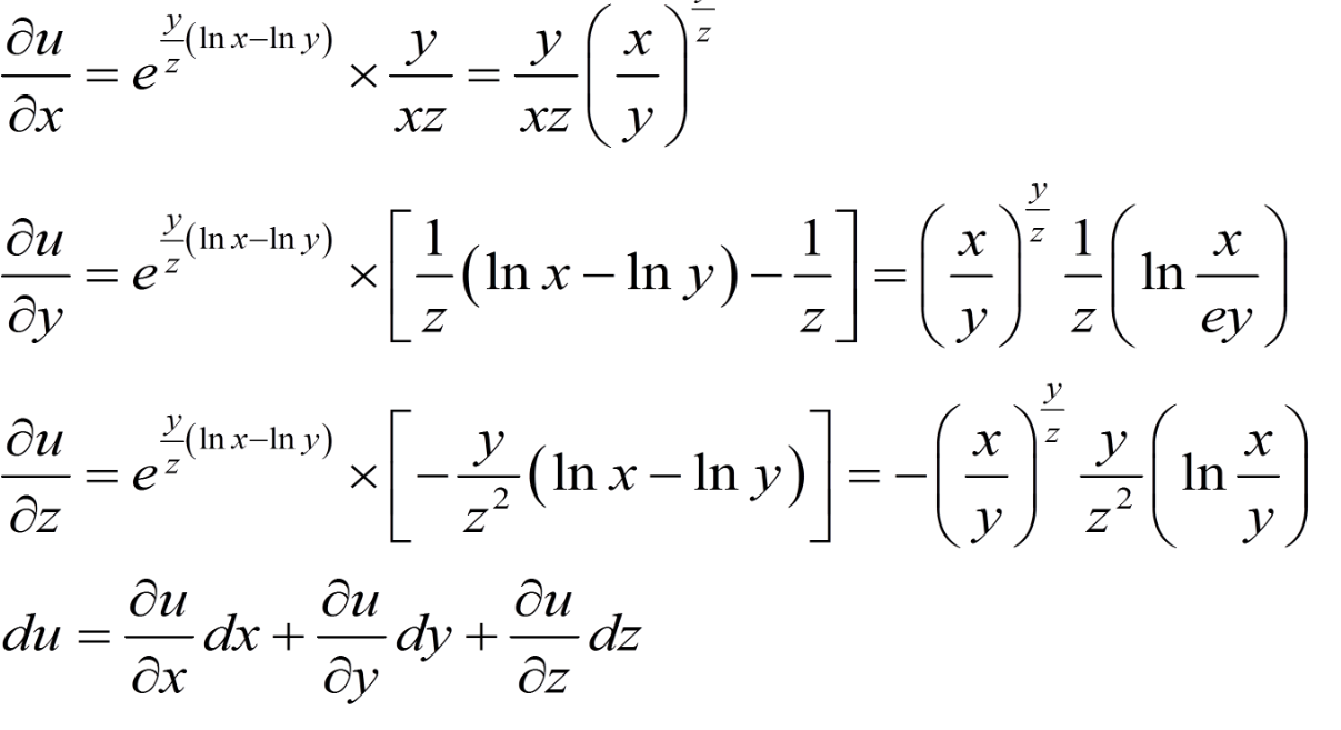
全微分概念
如果函数z=f(x, y) 在(x, y)处的全增量Δz=f(x+Δx,y+Δy)-f(x,y)。
可以表示为Δz=AΔx+BΔy+o(ρ),其中A、B不依赖于Δx, Δy,仅与x,y有关,ρ趋近于0(ρ=√[(Δx)2+(Δy)2]),此时称函数z=f(x, y)在点(x,y)处可微分。
AΔx+BΔy称为函数z=f(x, y)在点(x, y)处的全微分,记为dz即dz=AΔx +BΔy,该表达式称为函数z=f(x, y) 在(x, y)处(关于Δx, Δy)的全微分。
声明:本网站引用、摘录或转载内容仅供网站访问者交流或参考,不代表本站立场,如存在版权或非法内容,请联系站长删除,联系邮箱:site.kefu@qq.com。
阅读量:66
阅读量:149
阅读量:82
阅读量:133
阅读量:38