小度生活
首页
美食营养
手工爱好
生活家居
返回
小度生活
首页
美食营养
游戏数码
手工爱好
生活家居
健康养生
运动户外
职场理财
情感交际
母婴教育
时尚美容
知识问答
生活知识
生活百科
搜索
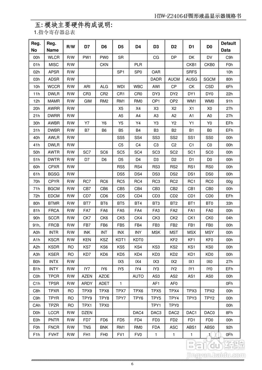
HTW-Z24064F液晶显示模块使用手册:[1]
2026-04-27 08:49:25
本篇为《HTW-Z24064F液晶显示模块使用手册》,主要介绍该产品的使用方法以及常见故障解决方案。
(共篇)
下一篇:
声明:
本网站引用、摘录或转载内容仅供网站访问者交流或参考,不代表本站立场,如存在版权或非法内容,请联系站长删除,联系邮箱:site.kefu@qq.com。
相关推荐
液晶显示器如何消磁
阅读量:160
TSG240128B SERIES图形点阵液晶显示模块使用手册:[1]
阅读量:187
HTW-G320240B6液晶显示模块使用手册:[2]
阅读量:108
HTW-G320240B4系列液晶显示模块使用手册:[2]
阅读量:74
HTW-G320240B1系列液晶显示模块使用手:[1]
阅读量:63
猜你喜欢
江南旅游
怎么可以怀孕
鲨鱼鳍天线怎么安装
怀孕可以吃泡面吗
加里曼丹沉香的特点
龙湖怎么样
电脑怎么打不了字
太行山大峡谷旅游攻略
闭嘴英文怎么说
精子成活力低怎么办
猜你喜欢
月子病怎么调理
半身裙怎么搭配
西宁旅游攻略
无精怎么办
上海旅游高等专科学校
黄山旅游攻略三日游
植物的特点
苏州西山旅游攻略
wps怎么统计字数
旅游管理毕业论文