小度生活
首页
美食营养
手工爱好
生活家居
返回
小度生活
首页
美食营养
游戏数码
手工爱好
生活家居
健康养生
运动户外
职场理财
情感交际
母婴教育
时尚美容
知识问答
生活知识
搜索
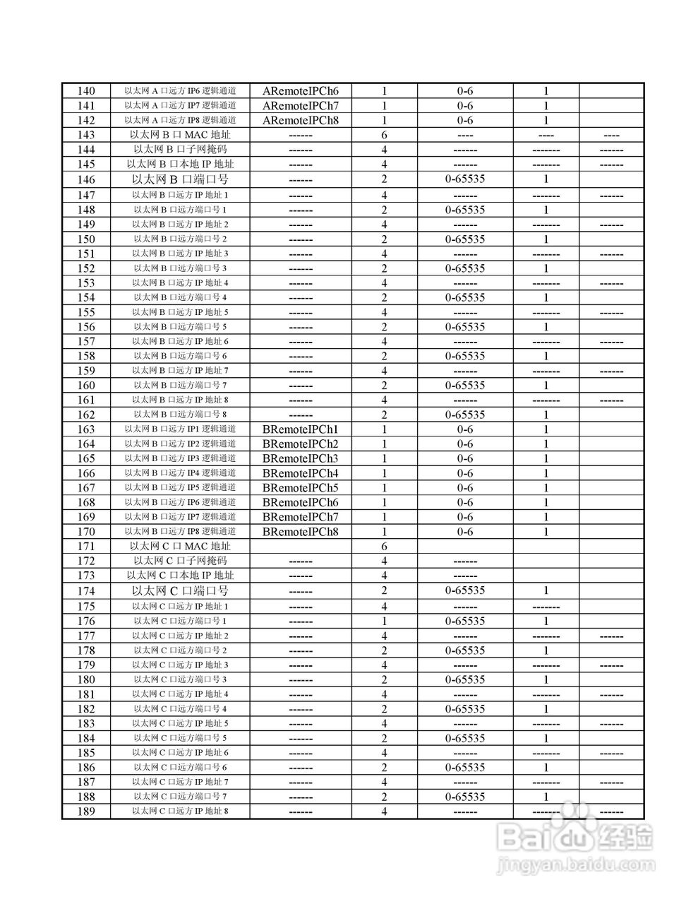
NSP713(V3.0)电动机保护器及测控装置技术说明书:[4]
2026-01-14 01:20:39
本篇为《NSP713(V3.0)电动机保护器及测控装置技术说明书》,主要介绍该产品的使用方法以及常见故障解决方案。
(共篇)
上一篇:
|
下一篇:
声明:
本网站引用、摘录或转载内容仅供网站访问者交流或参考,不代表本站立场,如存在版权或非法内容,请联系站长删除,联系邮箱:site.kefu@qq.com。
相关推荐
NSP713(V3.0)电动机保护器及测控装置技术说明书:[3]
阅读量:46
ARD3电动机保护器使用说明书:[4]
阅读量:165
ARD3电动机保护器使用说明书:[2]
阅读量:170
ARD3电动机保护器使用说明书:[3]
阅读量:125
电动机保护器选型基本原则
阅读量:126
猜你喜欢
安抚奶嘴什么时候用
饥荒曼德拉草有什么用
法律的作用是什么
家用净水器什么牌子好
什么是url
送围巾代表什么意思
殷勤是什么意思
虾皮是什么
愿意的近义词是什么
不得而知是什么意思
猜你喜欢
qsv是什么格式
theme是什么意思
翔是什么
运动会加油稿20字
猝不及防是什么意思
山茶花什么时候开
楼堂馆所指什么
iphone12什么时候上市
森林运动会
运动品牌logo大全